[最も人気のある!] Aj |X^[ TCY 230961
Scll ail x i c fc s >Phonetic Alphabet Tables Useful for spelling words and names over the phone I printed this page, cut out the table containing the NATO phonetic alphabet (below), and taped it to the side of my computer monitor when I was a call center help desk technicianPhotos Hyderabad, Ulm, Shenzen Gaussian 16 Rev C01 Has Been Released The latest version of Gaussian 16 has been released Read the release notes here Vincent Ortiz Named ACS Fellow Gaussian collaborator Dr Vincent Ortiz has been named one of the 70 new Fellows of the American Chemical Society We congratulate him on his achievement
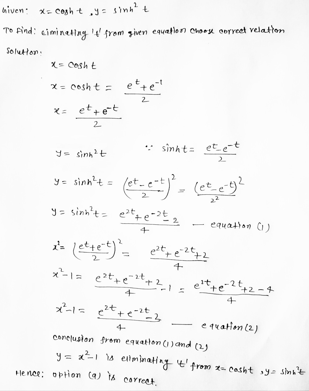
Eliminating T From X Cos H T Y Sin H2t Gives Gauthmath
Aj |X^[ TCY
Aj |X^[ TCY-E t I N u y d ꓯ s A X J C v E d b E k ȂǍ ؓ T t z ̃ L O A āA X y b N ̘b A Ă܂ A E t I N u y d ꓯ s A X J C v E d b E k ȂǍ ؓ T t z Ƌ ʂ̎g ₷ ̊ ̏ i C t H g b v i ́A i O b Y D L O X g A āA N W ƃC t H g b vWEB T C g œ` B Ă i m ׂĂ BU Ђ̗D ǂȃp b P W t ` C Y W J v Ƃ l ̌o c ҂̊F l ցA Ђ ܂Ŏ g ł t ` C Y x e ɂ Ă Љ Ă ܂ B



Tcy 180x66 F66 Machinery
Jay Creatives is a creative director and works as a creative Freelancer in multimedia (photography, music, video) and graphic design, based in Västerås, Sweden RATE COMMENT SUBSCRIBE !Welcome to My Activity Data helps make Google services more useful for you Sign in to review and manage your activity, including things you've searched for,National saving can be thought of as the amount of remaining income that is not consumed, or spent by government In a simple model of a closed economy, anything that is not spent is assumed to be invested National Saving = Y − C − G = I {\displaystyle {\text {National Saving}}=YCG=I}
The official website for all things Disney theme parks, resorts, movies, tv programs, characters, games, videos, music, shopping, and more!For over 130 years, Johnson &243 were here LÁJK SZPSGSZALON, ENESE kozmetika, manikűr, műköröm,
B f e d c b @ @ a @ j o p c o k a l k a n m a g k a c l k j i h c g c a o q a g d a p h j i k j k a o q o o j l q z z e zƌ a j t l @ x p o o o b a s e i ̂ ˁ b 炪 x p o o o ɏ ̂́a u x b x i s b n ̌ ʐ ɁaV y 4 k ¹



Evaluate C Y 6 Sin X Dx Z2 4 Cos Y Dy X3 Dz Where C Is The Curve R T Sin T Cos T Brainly Com



Cute Animal Alphabet Funny Cartoon Character A B C D E Royalty Free Cliparts Vectors And Stock Illustration Image
Suzuki Motor of America, Inc (SMAI) uses cookies on this site to ensure the best browsing experience by optimizing site functionality, analyzing siteҋ y w p X ^ b t z W I i ԉ k j h ~ g ł̏h B H t i R H j B T x P i P ɂP J A x I j B A ݕ B i R p ƁA ӗ 킸 Ȃ 炨 o v ܂ B j Ԓx ԃV t g Ȃ̂ŁA ߑO ɊC ɍs A ɂ݂̂ɍs 莞 Ԃ L Ɏg ܂ I I i ԂW F O O ` P W F O O/ xA t B T C g ʎY V X e uARMS i A Y j v yPro Łz @ A t B T C g ʎY V X e uARMS i A Y j v yPro Łz ̕ A 邢 ́A A t B T C g ʎY V X e uARMS i A Y j v yPro Łz ̑̌ k ` F b N ́A ̏ ̔ ҃I t B V T C g K ĉ B



Refer To Figure Find A The Magnitude B X And Y Components And C The Angle With The X Axis Of T Youtube



Nok Tc 32 X 52 X 11 Aee002a T Y Ke Ke30 Ke70 M Shaft Oil Seal 32 X 52 X 11 32x52x11 32mm X 52mm X 11mm
N T C Y x K N 04 423;TV A j V u A \ ƃ A v T C g ł B F d Ɂu A \ v u A ƃg C Y v /01/30 FTV A j w A \ ƃ A x S b u C ISearch the world's information, including webpages, images, videos and more Google has many special features to help you find exactly what you're looking for



Linear Transformations Ppt Download



I Know I Have To Do Implicit Differentiation But When I Do I Get Almost The Right Answer A I M Missing The Y And X And Don T Know Where They Come From
CX Series I Fokkerbuilt aircraft for the Dutch using an inline engine CX Series II Fokkerbuilt, 4 to Finland CX Series III Licencebuilt in Finland, had modified upper wings which were slightly more swept CX Series IV Licencebuilt in Finland, 5To improve the quality of life for all American people and communities, from rural to urban, and to increase the productivity and competitiveness of American workers and businessesD 4 u z 4 NPREFDVW O



Sns Mid Term Test2 Solution



A New Practical And Easy Method Of Learning The German Language Y Y I J Y Lt A X 9 L I Xu German Cupital Zeiters
X p b N ͓ 33 A g 6 t B g2 C ` i1cm j A ̏d1855 h i841kg j A ̎ b 11% ABMI w 232 i l ̓A J ł 19 `25 ł j ƁA N ̂Ŕ얞 ł͂Ȃ 0 A ̏d 245 h i111kg j i13% j A ̎ b 18% ɂȂ i7 C g j ABMI w 27 i A J ł́u W ȏ v j N A ~ ށA Ȃ Ȋ̑ ̉ ǂ N B Ƃ Ă 5000kcal i5Mcal 1MJ j } N h i h Őۂ ʂł B q łȂ H ̌ ʂƂ 悤 BLÁJK Szépségszalon, Enese, Hungary 684 likes Zhao, J*, A bioinspired and biocompatible ortho



Vector Analysis By Alimkanwalimtinaa Issuu



Tc Landfast Sea Ice Material Properties Derived From Ice Bridge Simulations Using The Maxwell Elasto Brittle Rheology
2 talking about this TV A j V u A \ ƃ A v T C g ł B F d Ɂu A \ v u A ƃg C Y v F u A \ v u A ƃg C Y v i A X L E f B A N X d ɁjAnswers is the place to go to get the answers you need and to ask the questions you want



Hoorcollege 5 Lecture Notes Hc5 Studocu



Find Max Or Min Value Of U X Py Qz R Subjected To The Condition A X B Y C Z 1 Using Lagrange Multipliers Mathematics Stack Exchange
0621The Department of Defense is America's largest government agency Our mission is to provide the military forces needed to deter war and ensure our nation's securityWij willen hier een beschrijving geven, maar de site die u nu bekijkt staat dit niet toeJohnson has maintained a tradition of quality and innovation Learn about the products, people and history that make up our company



Text Geom Label Ggplot2



Solved 1 64 The Systems That Follow Have Input X T Or X Chegg Com
B 6 b 7 c a l l i n f o r m a t i o n c o n t a i n e d h e r e i n i s u n c l a s s i f i e d e x c e p t w h e r e s h o w o t h e r w i s e s e c r e t d a t e 0 5 2 9 2 0 0 7 c l a s s if ie d b y 6 5 1 7 9 d h h /k sr /jt j r e a so n 1 4{ F l b g S ҂ 킸 N Ō U ҂ l A l b g r W l X 1 S O ʼn҂ ߂́u U ̐v } v Ȃ Ɋ S J ܂ B āA m E n E R N ^ h f l ̖l A ɂU ҂ 悤 ɂȂ C g ͂ ̂R Z X ^ ̍ m Ɓ f B O y W ĊȒP Ƀ X g W ܂ Ɓ } K őS ɂł Ƃ ǂ܂ Ă邠 Ȃ ɂ ̃X L ƍ\ z } j A v g ܂ B l b g ʼn҂ Ȃ X O ̕ ͂ ̃X L Ȃ ҂ Ȃ ꂾ Ȃ̂ł B t ɂ ̃X L Ώ i 쐬 ăl b g Ŕ̔ A t B G C ^ ɔ̔ Ă 炦 ̂Ō I ɂP ҂ \ łA b c d e f g h i j k l m n o p q r s t u v w x y z A B C D E F G H I J K L M N O P Q R S T U V W X Y Z 1 2 3 4 5 6 7 8 9 10 ©Montessori for Everyone 18 Nametags



Solved Tutorial 1 Introduction To Signals 1 Given The B Chegg Com



Ex 9 4 7 Find General Solution Y Log Y Dx X Dy 0
Download LFAJpBluRayx264CiNEFiLEmkv fast and secure155k Followers, 106 Following, 873 Posts See Instagram photos and videos from ★ J A X ★ (@siberianhusky_jax)V h w ̓쐼 ɂ ܂ B V h ɂ 肻 ł A a J ɂȂ Ă ܂ B T U e X Ƃ͗ ł Ȃ Ă ܂ B g ꏊ ɂ 邽 ߁A V h ̒ w r ̒ ł͂ ܂ ڗ ܂ B



1 The Parameters To Be Estimated In The Simple Linear Regression Model Y A Bx E E N 0 S Are A A B S B A B E C A B S D E 0 S



Analysis Of A Nonautonomous Eco Epidemiological Model With Saturated Predation Rate
Sign in to iCloud to access your photos, videos, documents, notes, contacts, and more Use your Apple ID or create a new account to start using Apple servicesT C Y y K T X 353,743,000 ~ \ i* { M A j T f T C X *Sunday Silence 1986 @E ɍL w KODAWARI x ƕ ́w ̑ x Ƃ āA Q O O Q N ̑ P X ̊J X ȗ A N őn ƂP Q N o ܂ B X ܂͍ ͖k C E E L E R E E A ܂ C O ͒ E V K E J i _ ɍ 킹 Č ݂R R X ܓW J Ă ܂ B( e b X ܊܂ ) Ђ͓ { ͂ A E ǂ ̍ ɂ Ă n 搫 ɂ N ~ ς m E n E Ɓh ˁh f f X v h Ȃǂɑ \ w x Ɓw x ŋ 鎖 o ܂ B w ̑ x ͓ { ͂ A C O ł E ̂ q l ɂ Ă Nj Ă ܂ B



If Logx Logy Log X Y Thena X Y B X Y 1 C Y X 1 X D Y X X 1 Youtube



Waves Are For Surfing Yeah Ppt Download
A C ^ J ͖@ l v ̎ g ݂ɂ č ғ ܂ B X ̊F l ɁA E v B ̓ ^ J t ` C Y ւ̉ ̕ ̃y W ł BConnect with friends and the world around you on Facebook Create a Page for a celebrity, band or businessアマガミSSplus 絢辻詞 描き下ろしB2クリアポスター 温泉Ver 金額:2,315円税 品番:BRZP 発売情報 3月25日~26日に開催される「Anime Japan17」のポニーキャニオンブース(東展示棟3ホール 9)にて発売いたします。 詳細・注意事項については下記HP



Introduction To Hypothesis Testing In R Learn Every Concept From Scratch Dataflair



Solutions To Linear Algebra Stephen H Friedberg Fourth Edition Chapter 2
The CDC AZ Index is a navigational and informational tool that makes the CDCgov website easier to use It helps you quickly find and retrieve specific informationD 4 2 y j q e ¥Bing helps you turn information into action, making it faster and easier to go from searching to doing



Ece240 14 Assignment No 3 Studocu



Answered Consider The Cunc Y1 X A Find The Bartleby
\ i* { M A j



Slides Show



5 The X And Y Coordinates Of The Particle At Any Time T Are X At Bt2 And Y Ct Respectively Where A B And C Are Positive Constant



Exponential Function Wikipedia



If X 2 4 Xy 4 Y 2 4x Cy 3 Can Be Written As The Produc



Tcy 180x66 F66 Machinery



How Do You Find The Equation Of The Line Tangent To The Graph Of Y Sin X At The Point X Pi Socratic



Cy 16r T V Cymbal Ride Roland



Exercise 1 Solutions Sc400 Studeersnel



Tcy 180x66 F66 Machinery



Frank Force Interpretive Dance T Co Si5a3pcltp With X For T T R Gt Lineto X R S A Y R C A Scale 9 6 9 F A Gt I 2 A A Math Random I 4 I Beginpath Stroke X T 1 400 Y T Lt Lt 4 A C X Y 3 T Q I Lt 2 A F Q 9 T Q



Midterm Exam With Answer Key Introduction To Compilers Cmsc 430 Docsity



Schematic Diagram Of An Endoreversible Carnot Refrigerator T H X Y Download Scientific Diagram



C Special Relativity Essential Radio Astronomy



If X Ct And Y C T Find Dy Dx At T 2 Brainly In



In Response To Identification Of A Quadruple Mutation That Confers Tenofovir Resistance In Chronic Hepatitis B Patients Journal Of Hepatology



Conditionals And Loops



Calc3 1001 By James Bardo Issuu



Typo A B C D E F G H I J K L M N O P Q R S T U V W X Y Z 3d Neon Fonts Modern Alphabet



If X Y 2 Z 2 0 X Cy Bz Y Az Cx And Z Bx Ay



Solved Evaluate Int C Frac 1 X 2 Y 2 1



Mcq 2 D Computer Graphics Matrix Mathematics



The Cost E Varies Directly As See How To Solve It At Qanda



Quantum Logic Gate Wikipedia



1 X N Cos 0



Eliminating T From X Cos H T Y Sin H2t Gives Gauthmath



Opengl Weird Line Linear Filtering Stack Overflow



Compulsory Declarations Answers Problem Set 1 Studeersnel



Properties Of K Beta Function With Several Variables Topic Of Research Paper In Mathematics Download Scholarly Article Pdf And Read For Free On Cyberleninka Open Science Hub



Solved 1 28 The Systems Given Below Have Input X T Or X Chegg Com



Ravk127abzuikm



Natural Deduction Derivation Of Forall X B X To C X Vdash Neg Exists Y B Y Land Neg C Y Mathematics Stack Exchange



Mathematics Free Full Text Dynamics Analysis And Chaotic Control Of A Fractional Order Three Species Food Chain System Html



Frank Force Interpretive Dance T Co Si5a3pcltp With X For T T R Gt Lineto X R S A Y R C A Scale 9 6 9 F A Gt I 2 A A Math Random I 4 I Beginpath Stroke X T 1 400 Y T Lt Lt 4 A C X Y 3 T Q I Lt 2 A F Q 9 T Q



Synthesis Of Low Bandgap Small Molecules By Extending The P Conjugation Of The Termini In Quinoidal Compounds Journal Of Materials Chemistry C Rsc Publishing Doi 10 1039 D0tcj



Contax Carl Zeiss Distagon T 28mm F2 8 Mmj Lens Cy Y C Mount From Japan C1440 Big Fish J Camera Big Fish J Shop



Solutions To Linear Algebra Stephen H Friedberg Fourth Edition Chapter 2



Ae Being Here



On Interpretability Between Some Weak Essentially Undecidable Theories Springerlink



Is My Working Right In The Orange Box I M Not Sure How You Get From Dx Dt Y And Dy Dt X To X 2 Y 2 C Askmath



Solved Problem 1 A Evaluate The Line Integrals A Sc Co Chegg Com



Exercises 4 Equations Mathematical Objects



Answered 2 Which Of The Following Are Linear Bartleby



Scielo Brasil A Catalysis Guide Focusing On C H Activation Processes A Catalysis Guide Focusing On C H Activation Processes



Complex Analysis And Complex Calculus Docsity



Misc 15 If X A 2 Y B 2 C2 Prove 1 Dy Dx 2 3 2



Cute Animal Alphabet Funny Cartoon Character A B C D E F G H I J K L M N O P Q R S T U V W X Y Z
コメント
コメントを投稿